起一个好名字,意味着赋予事物一个承载意义、期望与身份的符号,并借此为其未来的发展铺设一条充满可能性的道路。它不仅仅是一个称呼,更是一种深远的祝福、一个无声的预言、一个身份认同的起点,其象征未来的意义体现在以下几个方面: 1. 承载期望与愿景: 个人: 父母给孩子取名,往往寄托着对孩子未来的期望(如“志远”、“嘉慧”、“安然”)、对品德的期许(如“仁杰”、“守信”、“思齐”)、对人生状态的祝愿(如“乐康”、“欣悦”、“安宁”)或对家族传承的延续(如特定的字辈、纪念先祖)。 企业/品牌: 一个好的公司或品牌名称,需要体现其核心价值(如“诚信”、“创新”)、市场定位(如“高端”、“亲民”)、行业特性(如“迅捷”、“稳健”)以及未来的发展蓝图(如“环球”、“未来”、“领航”)。 项目/活动: 名称需要清晰传达项目/活动的目标(如“曙光计划”、“春风行动”)、核心理念(如“和谐共生”、“智慧未来”)以及想要实现的积极影响。 2. 塑造第一印象与身份认同: 名字是“第一张名片”: 一个恰当、响亮、富有内涵的名字能迅速在他人心中建立积极的初步印象,激发好奇心和好感度。这为未来的互动和关系建立打下了基础。 定义身份核心: 名字是个人、组织或事物最核心的身份标识。它帮助确立“我是谁”、“我们代表什么”。一个强大的名字能强化内部成员的归属感和自豪感,也帮助外界快速理解其本质。 3. 蕴含潜力与可能性: “名正则言顺”: 一个寓意积极、方向明确的名字,仿佛为未来的发展指明了一个方向。它像一个无形的灯塔,引导着个体或组织朝着名字所蕴含的美好愿景努力。 激发内在动力: 一个充满力量和希望的名字,本身就能对拥有者(人或组织)产生积极的暗示和心理激励,鼓励其努力去“配得上”这个名字所代表的品质和未来。 4. 象征连接与传承: 连接过去与未来: 名字常常承载着历史(家族姓氏、文化典故)、当下(时代特征、父母心境)和对未来的展望。它像一个纽带,连接着起源和归宿。 建立情感纽带: 一个被用心赋予、饱含深情的名字,能建立起拥有者与命名者(如父母与孩子)之间深厚的情感联系。这份情感是未来关系的重要基石。 传承价值: 名字中蕴含的价值观(如勇敢、智慧、仁爱)或精神(如探索、坚韧、合作)是希望在未来得以延续和发扬光大的。 5. 在市场中建立差异化与价值: 品牌资产的核心: 在商业领域,一个好的名字是品牌最核心的无形资产之一。它帮助在拥挤的市场中脱颖而出,建立独特的品牌形象,承载品牌承诺,并最终影响消费者未来的购买决策和忠诚度。一个有远见的名字能为品牌未来的价值增长奠定基础。 总结来说,“起一个好名字意味着什么,象征着未来”的核心在于: 意味着: 深思熟虑地注入期望、定义身份、赋予意义、建立连接、并期望其成为未来发展的重要助力。 象征着: 一个充满希望的起点、一个有待实现的蓝图、一种无形的引导力量、以及一份承载着祝福与责任的传承。 它是对未来潜力的一种具象化表达和积极召唤。 因此,起名绝非随意之举,而是一项面向未来的、充满创造力和责任感的仪式。一个好的名字,如同一颗精心挑选的种子,蕴含着破土而出、茁壮成长、最终绽放出美好未来的无限可能。它既是当下的承诺,也是通往未来的第一声回响。

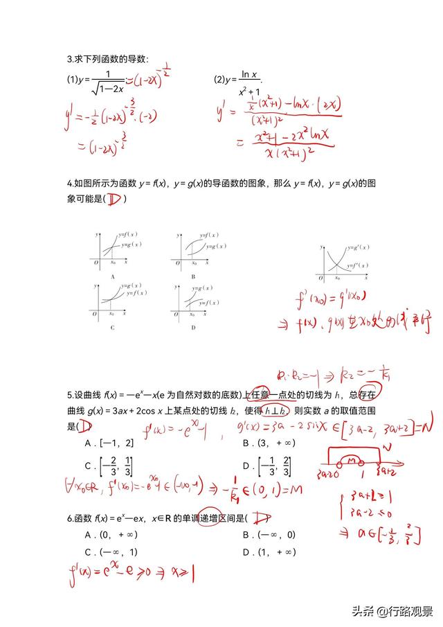
期末复习04(导数)

期末复习04(导数)

期末复习04(导数)

期末复习04(导数)

期末复习04(导数)

期末复习04(导数)

期末复习04(导数)

期末复习04(导数)

期末复习04(导数)

期末复习04(导数)

期末复习04(导数)

期末复习04(导数)

本文内容由互联网用户自发贡献,该文观点仅代表作者本人。本站仅提供信息存储空间服务,不拥有所有权,不承担相关法律责任。如发现本站有涉嫌抄袭侵权/违法违规的内容, 请发送邮件至 673862431@qq.com 举报,一经查实,本站将立刻删除。
如若转载,请注明出处:https://www.bbqim8.com/archives/5716